日本黑道女皇松田芳子:巅峰时力压山口组,后被美国人设计搞垮
2025-12-11 12:23:20
数学中无穷级数的奥秘

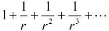
Σ是求和公式,也是欧拉大神所创,上面给出的式子叫几何级数,什么叫级数呢?
简单说,级数就是把数列各项用加号连接起来的函数,比如几何级数就是:

这货跟几何有什么关系呢?为什么叫几何级数,以r=2为例吧,话不多说直接上图:

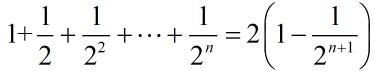
这是一个面积为2的正方形,可以分割成如图的一些小矩形的面积之和,按这样切割的顺序一直加下去,便有了:

当然可能会有同学质疑说这么一直加下去怎么就等于2了呢?为什么不是小于2?
利用等比数列求和公式:

当n无穷大时,我们认为:

不用纠结这个,因为这便是最好的结果。
当然如果实在说服不了自己的话,就换个思路想,这个算式的结果不可能大于2吧,也无法说明其小于2,如果小于,小多少呢?所以只能承认

这是阿基米德说的。
类似这样的思路,考虑设计:


在这里,大正方形的面积为1,绿色部分和黄色部分是对对称的两部分,足以说明:

再来个


大正方形的面积为1,所以最后的结果是1/3!
几何级数因为是无限相加,所以也叫无穷级数,如果“级数”这个词看着别扭,就理解为是无穷个数相加好了。既然是加法当然我们要求结果啦,求不出结果的式子其存在毫无意义,所以会有求不出结果的式子吗?
还真的有!
S=1-1+1-1+1-1+……
S的值为多少?
法1:S=(1-1)+(1-1)+(1-1)+……=0
法2:S=1+(-1+1)+(-1+1)+……=1
法3:S=1-(1-1+1-1+1-1+……)=S,∴S=0.5
哇塞,竟然想出了三种方法!
哇塞,三种方法的结果居然还不一样!
那哪个是正确答案?感觉这三个看起来都有道理,作为一门严谨的学科,最怕感觉这么回事,因为感觉是不讲道理的,偏偏数学要以理服人。
其实这三种做法都用到了“加法结合律”!什么是加法结合律,这应该是小学内容了吧:a+b+c=a+(b+c)
在计算加法的时候可以先把后面的部分先加起来,但要注意的是,我们所说的计算都是有限个数的计算,而我们上面的题目可是求一个无穷级数的结果,所以问题就出在这里!
我们不能拿有限数的计算方法用在无限当中,这便是我们没有感觉出有差别的地方。讲真,察觉不出这一点很正常,但不要习以为常,对于计算的每一步,请考虑是否完全等价!
所以以上都不是正确答案,这个算式没有答案。在无穷的世界里会有很多我们想象不到的结果,比如整体可以等于部分,比如说无穷也分可数与不可数等等,所以出现这样没有结果的结果也不用太意外了。
那什么样的无穷相加才会有结果呢?我们想要的结果当然是一个数咯,稍微分析一下我们就会发现,这串数列后面的数必须得越来越小,在无穷处趋近于零,即我们所谓的极限为0,这样才能有个结果。
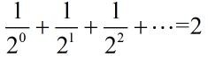
正如前面所举的例子:

这些当n趋近于无穷大时,结果都为0,这样才有可能得到一个数字作为结果,像这样的级数称为是收敛的。
反观1+1+1+1+……,结果便只能是无穷大,并不能得到一个确定的数字。像这样的级数我们称为是发散的。
那是不是只要满足这一串相加的数列的极限为0就好了呢?
计算:

这个级数我们称为叫调和级数,一直加下去,结果会是多少呢?
感觉一下?
结果等于正无穷,因为

所以想要结果有多大就有多大,也就是说即便这串数列的极限为0也不能保证一定由结果。
再比如还可以这么解释:


所以调和级数是发散的。
因而数列极限为0仅仅是必要条件(想要有结果必须得满足这个),还不够充分(即便满足这个也不一定有结果),并不能保证一定有个结果。
不过既然是必要条件,说明还是会有一些例子是可以求得结果的。
著名的“贝塞尔”问题

首先这个结果肯定不会无穷大,用我们初中知识便可以解决:

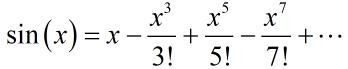
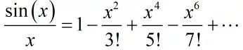
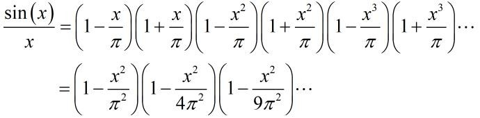
欧拉大神说:

什么?这玩意怎么和π还有关系!



因为sinx/x的解集为


考虑x²项系数对应相等,即有:


虽然证明过程还略有不完善之处,但瑕不掩瑜。
作为一个问题的完整回答,必须得再补上问题的正解,对于级数

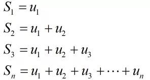
记:

这里的Sn称为前n项和,既然是求和,不妨一步一步来,我们想要的结果是一个确定的数值,那就从前n项和的规律来探讨。
当n趋近于无穷大时,若Sn的极限存在,则此极限便是无穷级数的结果。
所以所谓的无穷相加的结果,即是前n项和的极限,若极限不存在,则亦不存在相加的结果。
在无穷面前,我们的想象力确实有一点渺小。
2025-12-11 12:23:20
2025-12-11 12:21:04
2025-12-11 12:18:48
2025-12-11 12:16:32
2025-12-11 12:14:17
2025-12-11 12:12:01
2025-12-11 12:09:45
2025-12-11 12:07:29
2025-12-11 12:05:13
2025-12-11 00:56:10
2025-12-11 00:53:55
2025-12-11 00:51:39
2025-12-11 00:49:23
2025-12-11 00:47:07
2025-12-11 00:44:52
2025-12-11 00:42:35
2025-12-11 00:40:20
2025-12-11 00:38:04
2025-12-11 00:35:48
2025-12-11 00:33:32